Ampera Performance,
-
Tom@NeotronGmbH
- 60 kW - range-extended
- Beiträge: 86
- Registriert: 3. Dez 2012 22:59
- Wohnort: Eichenzell
- Kontaktdaten:
Ampera Performance,
Hallo Amperafans,
ich erlaube mir mal als Greenhorn ein neues Thema auf zu machen.
Sagen wir mal ich würde für den Ampera ein Upgrade anbieten das folgendermaßen aussieht:
• Ein zusätzlicher Akku der sich sauber an die Kofferrauminnenmaße anschmiegt und dadurch nicht rutscht. Er nimmt etwa die unteren 50% des Kofferraumvolumens ein.
• Zur Sicherheit wir er mit dem Chassis fest verbunden.
• Bringt zusätzliche 5kWh Batteriekapazität
• Und drückt mit 50kg auf die Waage.
• Der Stecker wird in die von uns im Kofferraum installierte DC Steckdose einfach eingesteckt.
• Die Bordelektronik erkennt die zusätzliche Kapazität und zeigt die zur Verfügung stehende Kapazität und Reichweite richtig an.
• Nur im Sport Mode wird die Maximalgeschwindigkeit von 161 auf sagen wir 190 angehoben.
Also wahlweise eine Reichweitenverlängerung von 30-40km oder eine etwas zügigere Fahrt mit etwa der gleichen elektrischen Reichweite.
Und wie kann es anders sein, weil Spass kostet. Zielpreis inkl. Einbau ca. 5.000,-EUR
Sollte es Ärger mit der Garantie geben wird diese übernommen!
Darf ich mal fragen für wen das was wäre?
ich erlaube mir mal als Greenhorn ein neues Thema auf zu machen.
Sagen wir mal ich würde für den Ampera ein Upgrade anbieten das folgendermaßen aussieht:
• Ein zusätzlicher Akku der sich sauber an die Kofferrauminnenmaße anschmiegt und dadurch nicht rutscht. Er nimmt etwa die unteren 50% des Kofferraumvolumens ein.
• Zur Sicherheit wir er mit dem Chassis fest verbunden.
• Bringt zusätzliche 5kWh Batteriekapazität
• Und drückt mit 50kg auf die Waage.
• Der Stecker wird in die von uns im Kofferraum installierte DC Steckdose einfach eingesteckt.
• Die Bordelektronik erkennt die zusätzliche Kapazität und zeigt die zur Verfügung stehende Kapazität und Reichweite richtig an.
• Nur im Sport Mode wird die Maximalgeschwindigkeit von 161 auf sagen wir 190 angehoben.
Also wahlweise eine Reichweitenverlängerung von 30-40km oder eine etwas zügigere Fahrt mit etwa der gleichen elektrischen Reichweite.
Und wie kann es anders sein, weil Spass kostet. Zielpreis inkl. Einbau ca. 5.000,-EUR
Sollte es Ärger mit der Garantie geben wird diese übernommen!
Darf ich mal fragen für wen das was wäre?
30Tkm mit 154Liter Benzin auch wenn der Winter etwas Benzin gekostet noch ganz OK.
-
huschelmonk
- 500 kW - overdrive
- Beiträge: 546
- Registriert: 7. Okt 2012 19:38
- Wohnort: Niedersachsen
- Kontaktdaten:
Re: Ampera Performance,
Danke kein Interesse.Tom@NeotronGmbH hat geschrieben:Darf ich mal fragen für wen das was wäre?
80% der Fahrten in Deutschland sind unter 50 km. Dafür reicht die elektrische Reichweite allemal.
Was bringt eine Reichweitenverlängerung von 30-40 km. Wir haben ein RE mit einer Reichweite von 500 km an Bord. Und zusätzliche Batterien mit einem Gewicht von 50 kg unnötig mit dadurch erhöhten Energieaufwand durch die Gegend fahren. Überlege nur einmal welche Energie benötigt wird 50 kg einen Berg hochzuwuppen. Dann kannst du auch gleich einen Sitz mit ausbauen, da der Ampera dann nur eine Zuladung von 218 kg noch erlaubt.
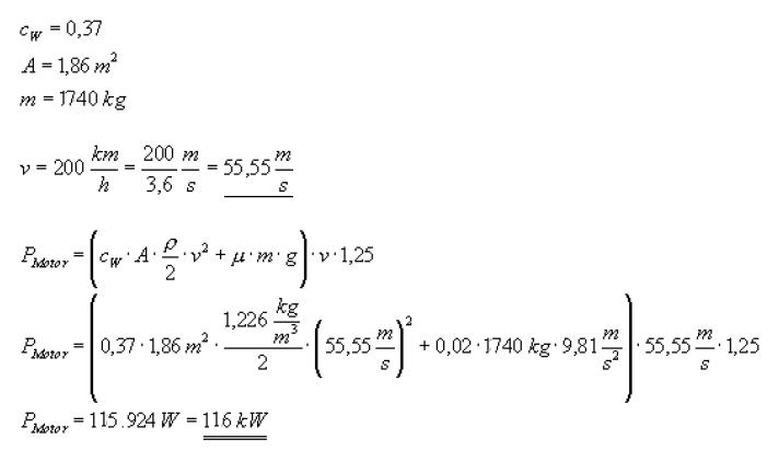
Aber trotzdem einmal eine Rechnung welche Leistung für den Ampera benötigt wird. Ich komme auf 116 KW für das 1740 kg schwere Fahrzeug, die der Generator liefern muß.
Der Ampera hat ein Planetengetriebe und ein darauf abgestimmtes Motor und Generatorsystem, der Generator kann gerade soviel Strom erzeugen das 161 km/h möglich sind. Für deine 190 km/h wird ein weiterer Motor benötigt. Und das alles für 5000 € ? Daher wird deine Upgrade Utopie bleiben.
Jetzt aber einmal ein offenes Wort.
Warum liest du nicht was man dir schreibt ?
Warum beschäftigst du dich nicht mit der Technik vom Ampera ?
Du möchtest ein Upgrade hast die Funktionsweise des Amperas aber noch gar nicht begriffen.
Bitte entschuldige, aber das muß mal gesagt werden, das du damit nervst.
Zuletzt geändert von huschelmonk am 12. Dez 2012 20:15, insgesamt 1-mal geändert.
-
EcoDrive
- 500 kW - overdrive
- Beiträge: 2887
- Registriert: 16. Okt 2011 19:58
- Wohnort: Schweiz
- Kontaktdaten:
Re: Ampera Performance,
Nein Danke kein Interesse.Tom@NeotronGmbH hat geschrieben:Sagen wir mal ich würde für den Ampera ein Upgrade anbieten das folgendermaßen aussieht:.........
Darf ich mal fragen für wen das was wäre?
Es wurde hier die vergangenen Monate einiges Wissen rund um den Voltecantrieb und die verwendete Akkutechnik zusammengetragen.
Deshalb würde sogar sagen, das ist gar nicht möglich, ein Scharlatan, der das anbieten würde.
Opel Ampera, 2012 seit 3.5.12.
Vollständige Datenerfassung seit 6.5.12
35504 km elektr. mit 12,88 kWh/100km ab Akku.
16,58 kWh ab geeichtem Zähler
1698 km RE-Betrieb 7,49 L/100km
Lebensd.Verbr. 0,52 L/100km (0,34 L/100km seit 6.5.12)
Stand 08.10.14
Vollständige Datenerfassung seit 6.5.12
35504 km elektr. mit 12,88 kWh/100km ab Akku.
16,58 kWh ab geeichtem Zähler
1698 km RE-Betrieb 7,49 L/100km
Lebensd.Verbr. 0,52 L/100km (0,34 L/100km seit 6.5.12)
Stand 08.10.14
-
Tom@NeotronGmbH
- 60 kW - range-extended
- Beiträge: 86
- Registriert: 3. Dez 2012 22:59
- Wohnort: Eichenzell
- Kontaktdaten:
Re: Ampera Performance,
Ich weis zwar nicht was ich nicht gelesen haben soll,Jetzt aber einmal ein offenes Wort.
Warum liest du nicht was man dir schreibt ?
Warum beschäftigst du dich nicht mit der Technik vom Ampera ?
Du möchtest ein Upgrade hast die Funktionsweise des Amperas aber noch gar nicht begriffen.
Bitte entschuldige, aber das muß mal gesagt werden, das du damit nervst.
und verstehe dir Feindseligkeit jetzt gerade nicht,
Wenn es nervt eine andere Meinung zu haben ziehe meinen Beitrag zurück.
30Tkm mit 154Liter Benzin auch wenn der Winter etwas Benzin gekostet noch ganz OK.
- le frere
- 60 kW - range-extended
- Beiträge: 76
- Registriert: 15. Sep 2011 14:00
- Wohnort: St.Pölten
- Kontaktdaten:
Re: Ampera Performance,
Finde nichts nervendes an der Idee. Wäre interessant. Die 190 kmh kann man aber mM streichen, weils nicht gehen wird, es gibt auch keinen Bedarf danach, schätz ich.
Ähnliches bieten ja einige schon lange für den Prius an, auch weils dort nötiger ist
.
lg
Mark
Ähnliches bieten ja einige schon lange für den Prius an, auch weils dort nötiger ist
lg
Mark
-
micky4
- 500 kW - overdrive
- Beiträge: 2082
- Registriert: 5. Apr 2012 08:39
- Wohnort: Wien, Österreich
- Kontaktdaten:
Re: AW: Ampera Performance,
Ich hätte sehr gerne mehr Batterie, aber (das was oben gemeint ist) es ist nach unserer Meinung unmöglich, eine zusätzliche Batterie ins sehr komplexe Batterie-Management zu integrieren. Die Batterie wird nach Bedarf erwärmt oder gekühlt (wie würde da eine Zusatzbatterie angehängt werden ?) und wird nie ganz ent- bzw. geladen (wie viel würde da bei der Zusatzbatterie übrigbleiben ? 65% von 5,0kWh sind 3,25 ?) . Da kommen zu viele Faktoren dazu, wenn man die nicht berücksichtigt, ist das neue System bald wieder verbraucht und/oder kaputt, oder wenn berücksichtigt, liegt der Kosten-Nutzen-Faktor im Argen ...
Ich hoffe, es wird in wenigen Jahren den Ampera 2.0 mit serienmäßig deutlich höherer eReichweite geben, da tausche ich dann meinen jetzigen ein ...
Ich hoffe, es wird in wenigen Jahren den Ampera 2.0 mit serienmäßig deutlich höherer eReichweite geben, da tausche ich dann meinen jetzigen ein ...
Liebe Grüße, Michael CU#13068, lithiumweiss, ePionier
myampera.wordpress.com
myampera.wordpress.com
-
Alfa
- 111 kW - voll elektrisch
- Beiträge: 138
- Registriert: 9. Sep 2012 13:25
- Wohnort: Luxemburg
- Kontaktdaten:
Re: Ampera Performance,
Prinzipiell würde ich zu mehr Akku Reichweite nicht Nein sagen, wer will schon Benzin verbrennen??
Aber ob ich dafür 5000€ ausgeben würde glaube ich weniger.
Die 190 km/h könnte man weg lassen.
Aber ob ich dafür 5000€ ausgeben würde glaube ich weniger.
Die 190 km/h könnte man weg lassen.
-
huschelmonk
- 500 kW - overdrive
- Beiträge: 546
- Registriert: 7. Okt 2012 19:38
- Wohnort: Niedersachsen
- Kontaktdaten:
Re: Ampera Performance,
Ups, ich glaube ich habe mich oben mit der Leistungsberechnung verrechnet.
Mann-o-Mann wo habe ich den Rechenfehler ? Die Formel stimmt.
@Tom@NeotronGmbH bitte nicht falschverstehen, es ist keine Feindseligkeit von mir.
Auch sollst du deinen Beitrag nicht zurückziehen.
Mann-o-Mann wo habe ich den Rechenfehler ? Die Formel stimmt.
@Tom@NeotronGmbH bitte nicht falschverstehen, es ist keine Feindseligkeit von mir.
Auch sollst du deinen Beitrag nicht zurückziehen.
Zuletzt geändert von huschelmonk am 12. Dez 2012 20:41, insgesamt 1-mal geändert.
-
Kratus
- 500 kW - overdrive
- Beiträge: 1352
- Registriert: 26. Dez 2011 12:49
- Wohnort: 30 km nördlich von Straßburg, Frankreich
- Kontaktdaten:
Re: AW: Ampera Performance,
So sehe ich das auch.micky4 hat geschrieben:Ich hoffe, es wird in wenigen Jahren den Ampera 2.0 mit serienmäßig deutlich höherer eReichweite geben, da tausche ich dann meinen jetzigen ein ...
Kratus.
Grüße aus dem Elsaß (Frankreich)
Ampera Modell 2013A.
Grüße aus dem Elsaß (Frankreich)
Ampera Modell 2013A.
-
Joachim
- 500 kW - overdrive
- Beiträge: 1102
- Registriert: 12. Aug 2011 17:59
- Wohnort: Im Ländle, Hohenlohe
- Kontaktdaten:
Re: Ampera Performance,
Wie bei der Original-Batterie 8 Jahre oder 160.000 km Garantie?Tom@NeotronGmbH hat geschrieben:…
• Bringt zusätzliche 5kWh Batteriekapazität
…
Und falls ja: Opel wird's mit größter Wahrscheinlichkeit in 8 Jahren noch geben. Und die Neotron GmbH?
Wer ist online?
Mitglieder in diesem Forum: 0 Mitglieder und 2 Gäste